lift pump warranty DENIED
yup called this morning
They called me back
Not covered.... Told me the fuel injection pump would be covered but not the lift/transfer pump....
What is next the letter and threats of lawsuits??? idk
I dont understand why there are so many discrepencies between everyones expiriences with this common problem.
They called me back
Not covered.... Told me the fuel injection pump would be covered but not the lift/transfer pump....
What is next the letter and threats of lawsuits??? idk
I dont understand why there are so many discrepencies between everyones expiriences with this common problem.
Some dealers will just do it. Those are the good dealers and I hope you guys remember them when it comes time to buy parts or trucks.
My local dealer sucks.
Yup! I agree! My original Dodge dealer Was very good with service.... but is not a dodge gealer anymor... The two closest to me dodge dealers are gone...
And now the closest Dodge dealers are over 20 miles away and I think I now know that I need to try the other dealer.....
Lifes lessons
Im not impressed with this dealers service manager
And now the closest Dodge dealers are over 20 miles away and I think I now know that I need to try the other dealer.....
Lifes lessons
Im not impressed with this dealers service manager
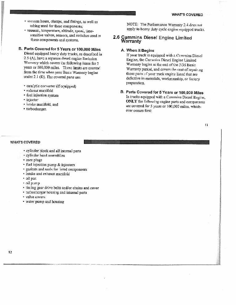
So, the dodge truck warranty is 3/36 (since I didn't purchase an extended warranty) and 5/100 drivetrain warranty starting after the 3/36? This is the first I have ever seen it presented this way. If you're correct, I basically have an 8 year 136k mile warranty! Correct?
When the pump in my 04.5 went out Dealer informed me that it was an engine/fuel system part, covered under the 100K engine warranty after I read over his shoulder when he tried to charge me $100 for the repair. Book said covered under 36k bumper to bumper, also under the 7/70 extended warranty under 5 years and should be under the 100K engine warranty with a $100 fee. On the 05 and up trucks it is a truck part as it is in the fuel tank, no longer an engine part, therefore I think that that contributes to the dealer confusion on the part. almost all who have fought for refund/warranty coverage on this issue have won for the 04.5's, it just takes time and effort.
You would have to fight for it, but there is plenty of precedence that if they did not intend it that way they would have changed the wording.
The way mine is written, the truck has a 3/36 from Dodge bumper to bumper.
The engine has a 100,000 mile warranty. Once the odometer rolls 101,000 miles the warranty is DONE.
And if it isn't part of the engine, it isn't warranted past 36,000 miles.
The engine has a 100,000 mile warranty. Once the odometer rolls 101,000 miles the warranty is DONE.
And if it isn't part of the engine, it isn't warranted past 36,000 miles.
No one else has ever posted it that way.
I know I have read both my 97 manuals, and a 99 and 02 manual, all clearly state 5/100 begins after the 3/36.
I am taking the other years wording on the advice of the owners.
(Sigh). I don't have a 97, 99 or 02 manual, but maybe you could post the exact wording here.
Dodge covers the first 36K, the balance of the 100k warranty is from Cummins. Cummins takes over after Dodge.
Too bad you're not in California. It's specifically covered in the 7yr/100k California emissions warranty. Of course, there will be no one left to enforce it after the state goes broke!
The Cummins warranty runs out at 100,001 miles or 7 years what ever one comes first, 5 years for 2006 up trucks, 0nce the truck OD reads 100,001 miles the warranty is finished, unless you have an extended warranty that goes past 100K.
As you can see, it is VERY clear about when the Cummins Warranty starts, and what it covers. The only thing that might be in question is the lift pump, when it was moved to the tank from the factory, would then not be covered ( 04.5 and newer )
You may wish to read your Warranty book..........


